방향그래프(Directed Graph) 구현도 무방향 그래프(Unidrect Graph) 구현 에서 한 것과 동일하게 인접리스트와 인접행렬을 이용하여 구현할 수 있다.
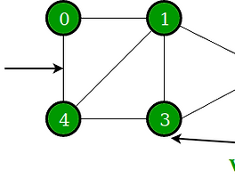
차이점은 그림1 (비방향 그래프 vs 방향그래프) 처럼 방향그래프는 정점마다 연결된 에지에 화살표로 들어오고(incoming) 나가는(outgoing) 방향이 있기 때문에 구현하는데 약간 변형을 해야 한다.

인접행렬과 인접리스트를 이용하여 구현하는 상세 설명은 무방향 그래프(Unidrect Graph) 구현 을 참고하고 여기서는 무방향 그래프 구현과 차이가 나는 부분만 코드내 주석으로 설명하도록 하겠다.
인접리스트 이용하여 구현
|
1
2
3
4
5
6
7
8
9
10
11
12
13
14
15
16
17
18
19
20
21
22
23
24
25
26
27
28
29
30
31
32
33
34
35
36
37
38
39
40
41
42
43
44
45
46
47
48
49
50
51
52
53
54
55
56
57
58
59
60
61
62
63
64
65
66
67
68
69
70
71
72
73
74
75
76
77
78
79
80
81
82
83
84
85
86
87
88
89
90
91
92
93
94
95
96
97
98
99
100
101
|
import java.util.ArrayList;
import java.util.LinkedList;
public class Digraph {
private static final String NEWLINE = System.getProperty("line.separator");
// 방향그래프내 노드의 총 개수
private final int V;
// 방향그래프내 간선의 총 개수
private int E;
// 정점 집합을 표현하는 하나의 배열과 각 정점마다 인접한 정점들(edge)을 연결하기위한 자료구조.
private ArrayList<LinkedList<Integer>> adj;
// indegree[v] 는 정점 V의 incoming edge = indegree의 개수를 저장한다.
private int[] indegree;
// 방향그래프내 있을 정점의 개수로 클래스 초기화.
public Digraph(int V) {
if (V < 0) throw new IllegalArgumentException("Number of vertices in a Digraph must be nonnegative");
this.V = V ; // 정점의 개수
this.E = 0 ; // 아직 에지의 개수는 하나도 없음.
indegree = new int[V];
adj = new ArrayList<>(V);
for (int v = 0; v < V; v++) {
adj.add(new LinkedList<>());
}
}
// 방향그래프내 노드의 총 개수를 리
public int V() {
return V;
}
// 방향그래프내 에지의 총 개수를 리턴
public int E() {
return E;
}
// // vertext 는 초기에 지정된 사이즈보다 크거나 0보다 작으면 안된다.
private void validateVertex(int v) {
if (v < 0 || v >= V)
throw new IllegalArgumentException("vertex " + v + " is not between 0 and " + (V-1));
}
// directed edge v→ w 를 그래프에 추가한다.
public void addEdge(int v, int w) {
validateVertex(v);
validateVertex(w);
// 무방향 그래프이니 역뱡향도 추가하였는데 방향그래프에서는 명확히 v -> w로 가는 에지만 추가한다.
adj.get(v).add(w);
// 그리고 v -> w 이므로 w 의 indegree를 +1 해준다.
indegree[w]++;
// 그래프내 에지의 총 개수도 +1 해준다.
E++;
}
// 정점의 인접리스트를 리턴한다.
public Iterable<Integer> adj(int v) {
validateVertex(v);
return adj.get(v);
}
// 정점으로 부터 나가는 에지의 개수(outdegree)를 리턴한다.
public int outdegree(int v) {
validateVertex(v);
return adj.get(v).size();
}
// 정점으로 부터 들어오는 에지의 개수(indegree)를 리턴한다.
public int indegree(int v) {
validateVertex(v);
return indegree[v];
}
public String toString() {
StringBuilder s = new StringBuilder();
s.append(V + " vertices, " + E + " edges " + NEWLINE);
for (int v = 0; v < V; v++) {
s.append(String.format("%d: ", v));
s.append(String.format("%d ", w));
}
s.append(NEWLINE);
}
return s.toString();
}
}
Colored by Color Scripter
|
인접행렬을 이용하여 구현
|
1
2
3
4
5
6
7
8
9
10
11
12
13
14
15
16
17
18
19
20
21
22
23
24
25
26
27
28
29
30
31
32
33
34
35
36
37
38
39
40
41
42
43
44
45
46
47
48
49
50
51
52
53
54
55
56
57
58
59
60
61
62
63
64
65
66
67
68
69
70
71
72
73
74
75
76
77
78
79
80
81
82
83
84
85
86
87
88
89
90
91
92
93
94
95
96
97
98
99
100
101
102
103
|
import java.util.Iterator;
public class AdjMatrixDigraph {
// 정점(vertex)의 총 개수.
private int V;
// 에지(edge)의 총 개수
private int E;
// 가중치가 없는 그래프라 boolean 으로 함.
private boolean[][] adj;
// 방향그래프내 있을 정점의 개수로 인접행렬을 초기화 한다.
public AdjMatrixDigraph(int V) {
if (V < 0) throw new IllegalArgumentException("Too few vertices");
this.V = V;
this.E = 0;
// V * V 사이즈의 행렬(matrix)를 생성한다.
this.adj = new boolean[V][V];
}
// 그래프내 정점의 총개 개수를 리턴.
public int V() {
return V;
}
// 그래프내 에지의 총 개수를 리턴.
public int E() {
return E;
}
// directed edge v→ w 를 그래프에 추가한다.
public void addEdge(int v, int w) {
if (!adj[v][w]) {
// 그래프내 에지의 총 개수도 +1 해준다.
E++;
}
// 무방향 그래프이니 역뱡향도 추가하였는데 방향그래프에서는 명확히 v -> w로 가는 에지만 추가한다.
adj[v][w] = true;
}
// 정점 V와 인접한 리스트를 리턴한다.
public Iterable<Integer> adj(int v) {
return new AdjMatrixDigraph.AdjIterator(v);
}
private class AdjIterator implements Iterator<Integer>, Iterable<Integer> {
private int v;
private int w = 0;
AdjIterator(int v) {
this.v = v;
}
public Iterator<Integer> iterator() {
return this;
}
public boolean hasNext() {
while (w < V) {
if (adj[v][w]) return true;
w++;
}
return false;
}
public Integer next() {
if (hasNext()) return w++;
else throw new NoSuchElementException();
}
public void remove() {
throw new UnsupportedOperationException();
}
}
// string representation of Graph - takes quadratic time
public String toString() {
String NEWLINE = System.getProperty("line.separator");
StringBuilder s = new StringBuilder();
s.append(V + " " + E + NEWLINE);
for (int v = 0; v < V; v++) {
s.append(v + ": ");
for (int w : adj(v)) {
s.append(w + " ");
}
s.append(NEWLINE);
}
return s.toString();
}
}
Colored by Color Scripter
|
'자료구조(Data Structure)' 카테고리의 다른 글
| 서로소집합(Disjoint Set) - 합집합-찾기(union–find) (1) | 2019.07.06 |
|---|---|
| 방향 비순환 그래프(DAG, Directed Acyclic Graph) (0) | 2019.07.04 |
| 무방향 그래프(Undirected Graph) 구현 (0) | 2019.07.03 |
| 그래프(Graph)란? (0) | 2019.07.03 |
| 자료구조(Data Structure)란 (0) | 2019.07.02 |